欢迎进入 williamhill官网

当前位置: 首页 > 学术交流 > 正文

"九章讲坛"第805讲 — 王一夫 教授

日期:2024-04-23点击数:

应williamhill官网李万同教授和王智诚教授邀请,北京理工大学王一夫教授将于2024年4月23日-25日访问williamhill官网,期间于4月24日举办线上专题学术报告。

报告题目:Small-mass solutions in a two-dimensional logarithmicchemotaxis-Navier-Stokes system with indirect nutrient consumption

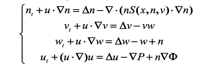
报告摘要:This talk is concerned with the singular chemotaxis-fluid system with indirect nutrient consumption:

in a smooth bounded domain  $\Omega\subseteq R^2$ under no-flux/Neumann/Neumann/Dirichlet boundary conditions, where   $\Phi\in W^{2,\infty}(\Omega)$,and  $S:\Omega\times[0,\infty)\times(0,\infty)\toR^{2\times 2}$   is a suitably smooth function that satisfies   $\mid S(x,n,\nu)\mid\leq S_0{/nu}/diagup /nu$ for all   $(x,n,\nu)\in\Omega\times(0,\infty)^2$ with some nondecreasing $S_0(0,\infty)\to(0,\infty)$

For all reasonably regular initial data with a smallness assumption merely involving the quantity  $ \int_\Omega n_0$ it is shown that the problem possesses a globally bounded classical solution, which, inter alia, exponentially stabilizes toward the spatially homogeneous state  $ (\frac{1}{\mid \Omega\mid}\int_\Omega n_0,  \frac{1}{\mid\Omega \mid}\inf_\Omega n_0, 0)$ with respect to the norm in  $L^\infty (\Omega)$.

This rigorously confirms that, at least in the two-dimensional setting, in comparison to the direct mechanism of nutrient consumption, an indirectmechanism can induce much more regularity of solutions to the chemotaxis-fluid system even with a singular tensor-valued sensitivity..This is a joint work with Peter Y.~H.~Pang and A. Huang.

间:4月24日上午9:00

点:腾讯会议697-950-293

欢迎广大师生光临!


报告人简介

王一夫,北京理工大学williamhill官网教授,博士生导师,2005年入选教育部新世纪优秀人才支持计划。研究方向为非线性反应扩散方程,近年来主要从事趋化扩散系统的理论分析。在Cal. Var. PDE, M3AS, JDE, Nonlinearity等期刊上发表论文90余篇,主持和完成多项国家自然科学基金面上项目。


甘肃应用数学中心

williamhill官网

萃英公司

2024年4月22日